Брянск, Россия
Брянск, Брянская область, Россия
Брянск, Брянская область, Россия
Россия
Для крупных предприятий вопросы кадрового обеспечения в настоящее время значительно обострились. Объясняется это тем, что необходимо постоянно поддерживать и актуализировать систему мотивации персонала таким образом, чтобы сохранить коллектив и обеспечить его развитие за счет повышения квалификации и профессиональной переподготовки с учетом динамичности стоящих перед предприятием задач. Острой является и проблема назначения руководителей различного уровня на должности в соответствии с не только их профессиональными компетенциями, но и, так называемыми, «мягкими» навыками (softskills). В данной работе предпринята попытка в рамках одной информационной советующей системы интегрировать четкие (количественные) и нечеткие (качественные) оценки персонала. В качестве инструментария оценки нами будет использован математический аппарат нейронечеткой логики. В результате - удалось добиться того, что система с искусственным интеллектом адекватно повторяет действия эксперта по выбору претендентов на руководящую должность.
нечеткая логика, кадровый потенциал, искусственный интеллект, anfis – подход
Введение
Принятие решений по различным вопросам кадровой политики зависит в том числе и от особенностей производственной деятельности специалистов. В ряд случаев, таких как разработка новых технических решений, внедрение новых образцов техники, научные исследования от специалиста требуется достаточно высокий уровень знаний [1,3]. В то же время для работы в подразделениях, занимающихся монтажом оборудования, в большей степени требуются умения и навыки работы с этим оборудованием. Для решения задач, в которых выполнение работ возможно только в рамках коллектива сотрудников важными становятся вопросы отношений в коллективе между руководителями, подчиненными и коллегами.
Взяв за основу оценки персонала по уровню знаний, умений и отношений в коллективе необходимо для использования нечеткой логики, следующей из этих оценок, определить на основе экспертных данных, при каком соотношении этих компонентов следует принимать то или иное решение [2]. Рассмотрим данную задачу на примере назначения резерва на руководящие должности в различных подразделениях, занимающихся автоматизацией перекачки нефти и нефтепродуктов в магистральных нефтепроводах. В данной работе рассмотрим применение для решения данной задачи нейросетевого подхода.
Следует учесть, что в условиях изменяющейся внешней среды, неточности получаемой информации у лиц, принимающих решения по выдвижению кандидатов, возникают трудности с формированием четких однозначных ответов в качестве критериев оценки, поэтому в среде специалистов по управлению человеческими ресурсами намечается тенденция к использованию для отбора персонала методов, которые основаны на мягких вычислениях.
Нейросетевой подход обеспечивает классификацию кандидатов на вакантную должность, присваивая очередному соискателю метку класса [4]. Оценить качество кандидата по какой-либо шкале, формируя для него количественную оценку годности, таким способом не удается. Здесь может быть применен способ, основанный на нейронечеткой логике [12].
Выход нечеткой системы как раз и дает количественную оценку качества соискателя. Однако такой ситуации присуще одно, но важное ограничение, связанное с количеством входных сигналов. Дело в том, что число правил, необходимых для использования в нечеткой системе, растет чрезвычайно быстро: количество правил равно произведению числа градаций каждой входной переменной.
Предположим, что мы имеем 6 входных переменных, которые имеют всего по 2 градации. Даже в этом случае полная база правил состоит из 26 = 64 правил. Составить такие правила, основываясь на здравом смысле и понимании работы системы, довольно трудно. Выходом из создавшейся ситуации становится использование нейронечеткой системы, объединяющей в себе лучшие свойства нейронных сетей и нечеткой логики. Самое главное достоинство такой системы заключается в том, что база правил, какой бы значительной она ни была, формируется автоматически.
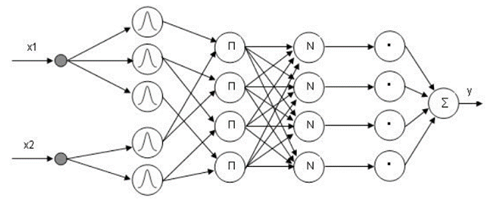
Применим для решения задачи выбора руководителя гибридную нейронную сеть типа ANFIS (Adaptive Network-Based Fuzzy Inference System), схема которой показана на рисунке 1.
Рис. 1. Сеть типа Anfis [1]
Fig. 1. Anfis type network [1]
Система ANFIS является одной из первой схем гибридных нейронечетких сетей — нейронной сети прямого распространения сигнала особого типа. Идея нейронечетких систем заключается в определении параметров нечетких систем посредством методов обучения, используемых в нейронных сетях [8-11]. Таким образом, метод ANFIS имеет все преимущества, присущие системам нечеткого вывода и нейронным сетям [1].
Методика.
При использовании системы ANFIS необходима база примеров, которую создадим методом статистических испытаний. При формировании такой базы учтем размерность и диапазон изменения каждой переменной [5-7]. В частности, систему оценок за умения, знания и отношения в коллективе определим в виде случайно распределенных чисел от 0 до 100, а результат выбора будем определять на основе рейтинга в виде целых чисел от 1 до 10. Лучшему кандидату будет соответствовать оценка эксперта в 10 баллов, самому неперспективному – 1 балл. Использование в качестве экспертной оценки равномерной шкалы затруднит работу эксперта, а наличие нестрогой оценки при большом числе опытов позволит обучить нейронную сеть выбирать на первом этапе группу специалистов с наибольшим рейтингом для дальнейшей оценки и анализа по другим показателям (образование, стаж, повышение квалификации и т.д.). Исходные данные, сформированные из случайных чисел, сгруппируем по 10 претендентов, из которых эксперт произведет выбор лучших, дав им рейтинговую оценку от 1 до 10. На основе достаточно большого количества групп по 10 претендентам, попробуем обучить нейронечеткую систему производить такой же выбор по тестовым исходным данным.
В таблице 1 приведен пример данных по обучающей выборке для одной из групп претендентов.
Таблица 1.
Выборка оценок по одной из групп претендентов на должность
Table 1.
A selection of grades for one of the groups of applicants for the position
|
№ п/п |
Оценка за умения |
Оценка за знания |
Оценка за отношения в коллективе |
Рейтинг претендента по данным эксперта |
|
1 |
60 |
82 |
17 |
6 |
|
2 |
56 |
67 |
91 |
7 |
|
3 |
74 |
98 |
36 |
10 |
|
4 |
64 |
43 |
26 |
3 |
|
5 |
47 |
60 |
44 |
4 |
|
6 |
16 |
21 |
3 |
1 |
|
7 |
30 |
61 |
88 |
5 |
|
8 |
22 |
90 |
18 |
2 |
|
9 |
84 |
45 |
97 |
8 |
|
10 |
86 |
53 |
70 |
9 |
После формирования выборки из 15 групп по 10 претендентов были получены первые данные с результатами обучения. На рисунке 2 приведена структура нейронечеткой сети при трех входных оценках.
Рис. 2. Структура нейронечеткой сети при трех входных оценках
Fig. 2. The structure of a neural mesh network with three input estimates
Система ANFISпри этом формирует 27 правил, параметры функций принадлежности по каждому входу и коэффициенты для расчета средневзвешенного значения на выходе по алгоритму СУГЕНО (всего 54 коэффициента).
На рисунках 3-5 показаны поверхности отклика, построенные по двум входным переменным при третьей, равной среднему значению.
Из приведенных данных следует, что зависимости выходной величины от входных носят нелинейный характер. Кроме этого, заметна разница во влиянии на выход этих входных величин.
Результаты.
Проанализируем изменение поверхностей отклика при добавлении в обучающую выборку последовательно по 5 пакетов данных, каждый из 10 претендентов. В результате получим динамику изменения поверхностей отклика.
Рис. 3. Поверхности отклика, построенные по двум входным переменным при третьей, равной среднему значению
Fig. 3. Response surfaces constructed from two input variables with the third one equal to the average value
Рис. 4. Поверхности отклика, построенные по двум входным переменным при третьей, равной среднему значению
Fig. 4. Response surfaces constructed from two input variables with the third one equal to the average value.
Рис. 5. Поверхности отклика, построенные по двум входным переменным при третьей, равной среднему значению
Fig. 5. Response surfaces constructed from two input variables with the third one equal to the average value.
На рисунках 6-8 показаны поверхности отклика при 20, 25 и 30 пакетах по первым двум входным параметрам (умения и знания).
Рис. 6. Поверхность отклика при 20 пакетах
Fig. 6. Response surface at 20 packets
Рис. 7. Поверхность отклика при 25 пакетах
Fig. 7. Response surface at 25 packets
Рис. 8. Поверхность отклика при 30 пакетах
Fig. 8. Response surface at 30 packets
На рисунках 9-11 показаны поверхности отклика по входным данным, отражающим знания и отношения в коллективе претендента.
Рис. 9. Поверхность отклика при 20 пакетах
Fig. 9. Response surface at 20 packets
Рис. 10. Поверхность отклика при 25 пакетах
Fig. 10. Response surface at 25 packets
Рис. 11. Поверхность отклика при 30 пакетах
Fig. 11. Response surface at 30 packets
На рисунках 12-14показаны поверхности отклика по входным данным, отражающим умения и отношения в коллективе претендента.
Представленные данные показывают, что после 30 пакетов по 10 претендентов, система практически не меняет поверхности отклика. Особенно это заметно в области максимальных выходных значений, которые наиболее важны при выборе кандидатов в резерв руководителей.
Рис. 12. Поверхность отклика при 20 пакетах
Fig. 12. Response surface at 20 packets
Рис. 13. Поверхность отклика при 25 пакетах
Fig. 13. Response surface at 25 packets
Рис. 14. Поверхность отклика при 30 пакетах
Fig. 14. Response surface at 30 packets
Такой вывод позволяет перейти к анализу результатов обучения на тестовой выборке.
В качестве тестовой выборки использовались 10 пакетов данных для выбора рейтинга у 10 претендентов. В таблице 2 приведены исходные данных для построения диаграммы.
Таблица 2.
Исходные данные для обобщения результатов оценки
Table 2.
Initial data for summarizing the evaluation results
|
№ п/п |
Умения |
Знания |
Отношения |
Оценка |
Система ANFIS |
Итог ранг |
|
1 |
6 |
97 |
81 |
6 |
5,46 |
6 |
|
2 |
65 |
17 |
84 |
5 |
4,32 |
4 |
|
3 |
43 |
25 |
74 |
2 |
3,58 |
2 |
|
4 |
29 |
35 |
91 |
1 |
3,85 |
3 |
|
5 |
40 |
77 |
44 |
8 |
6,19 |
9 |
|
6 |
83 |
41 |
15 |
9 |
6,12 |
8 |
|
7 |
19 |
72 |
35 |
4 |
4,59 |
5 |
|
8 |
79 |
77 |
4 |
10 |
6,53 |
10 |
|
9 |
7 |
95 |
3 |
3 |
3,27 |
1 |
|
10 |
69 |
33 |
90 |
7 |
6,05 |
7 |
Ниже на рисунке 15 в качестве примера приведены результаты для одного пакета данных.
Отсюда следует вывод о том, что система с искусственным интеллектом (система ANFIS) достаточно адекватно отражает мнение эксперта, которое представлено в нечеткой форме. Разница в положении претендентов в группе не превышает 3 единиц, наиболее характерным значением для ошибки является отличие на единицу. В целом при выборе 3-х претендентов, среди них всегда оказывается претендент с высшей оценкой.
Рис. 15. Результаты оценки для пакета данных
Fig. 15. Evaluation results for the data package
Частота совпадений выводов у эксперта и системы с искусственным интеллектом после объединения позиций, в которых оценки отличались на величину менее 0,5 балла, составила за контрольный пример 82%, частота совпадений с ошибкой на 1 – 91%.
Сопоставим эти цифры со значениями совпадений по обучающей выборке, при которой:
вероятность полных совпадений – 79%,
совпадений с ошибкой на 1 – 91%.
В результате сопоставления можно сделать вывод о том, что система с искусственным интеллектом адекватно повторяет действия эксперта по выбору претендентов на руководящую должность.
Заключение.
Таким образом, из приведенных рисунков следует вывод о том, что система с искусственным интеллектом достаточно адекватно отражает мнение эксперта, которое представлено в нечеткой форме.Однако, следует отметить, что с учетом разброса по рейтингу у претендентов выбор руководителя должен происходить в несколько этапов. На первом этапе формируется группа претендентов из 3-4 специалистов с высоким рейтингом, затем из них на основании дополнительных данных (образование, стаж, возраст и т.д.) производится окончательный выбор.
1. Катасев А.С. Нейронечеткая модель формирования нечетких правил для оценки состояния объектов в условиях неопределенности // Компьютерные исследования и моделирование. 2019. Т. 11, № 3. С. 477-492. DOIhttps://doi.org/10.20537/2076-7633-2019-11-3-477-492. EDNQKYSHN.
2. Проскуряков В.В. Гибридная ANFIS-сеть: инструмент снижения рисков. Образование России и актуальные вопросы современной науки : Сборник статей VII Всероссийской научно-практической конференции, Пенза, 20–21 мая 2024 года. Пенза: Пензенский государственный аграрный университет, 2024. С. 395-397. EDN DDVNIB.
3. Минаев О.М., Умлатов С.Д. Модификация нейро-нечеткой продукционной сети Anfis и ее разновидностей, использующих адаптивные нейроны. Ежегодная итоговая научно-практическая конференция научно-педагогических работников : Сборник материалов конференции, Грозный, 02 марта 2024 года. Грозный: Чеченский государственный университет им. А.А. Кадырова, 2024. С. 42-45. DOIhttps://doi.org/10.36684/119-1-2024-42-45. EDN RDJWSM.
4. Гатин Р.Р., Бикмахуметов Р.Р. Функции и возможности конструктора ANFIS для проектирования нечетких нейронных сетей. Наука сегодня: реальность и перспективы: Материалы международной научно-практической конференции, Вологда, 27 февраля 2019 года. Вологда: ООО "Маркер", 2019. С. 11-13. EDN VWRGWG.
5. Ge C., Wang B., Wei X., Liu Y. Exponential synchronization of a class of neural networks with sampled-data control // Applied Mathematics and Computation. 2017;315:150–161. DOIhttps://doi.org/10.1016/j.amc.2017.07.045.
6. Guskov G., Namestnikov A., Yarushkina N. Approach to the search for similar software projects based on the UML ontology. Advances in Intelligent Systems and Computing. 2018;680:3–10. DOIhttps://doi.org/10.1007/978-3-319-68324-9_1.
7. Ismagilov I.I., Khasanova S.F., Katasev A.S., Kataseva D.V. Neural network method of dynamic biometrics for detecting the substitution of computer. Journal of Advanced Research in Dynamical and Control Systems. 2018;10 (10 Special Issue):1723–1728. EDN YCGKPZ.
8. Katasev A.S., Kataseva D.V. Expert diagnostic system of water pipes gusts in reservoir pressure maintenance processes. 2nd International Conference on Industrial Engineering, Applications and Manufacturing, ICIEAM 2016 — Proceedings, 7911651. DOIhttps://doi.org/10.1109/ICIEAM.2016.7911651.
9. Katasev A.S., Kataseva D.V., Emaletdinova L.Yu. Neuro-fuzzy model of complex objects approximation with discrete output. 2nd International Conference on Industrial Engineering, Applications and Manufacturing, ICIEAM 2016 — Proceedings, 7911653. DOIhttps://doi.org/10.1109/ICIEAM.2016.7911653.
10. Liu X., Wang H., Gao C., Chen M. Adaptive fuzzy funnel control for a class of strict feedback nonlinear systems. Neurocomputing. 2017;241:71–80. DOIhttps://doi.org/10.1016/j.neucom.2017.02.030.
11. Namestnikov A. M., Filippov A. A., Avvakumova V.S. An ontology-based model of technical documentation fuzzy structuring CEUR Workshop Proceedings. 2016;1687:63–74. EDN ZIUJIJ.
12. Rauch J. Expert deduction rules in data mining with association rules: a case study. Knowledge and Information Systems. 2019;59 (1):167–195.




